ODEs and PDEs with Dimension nalysis —MTH106+ its application in APH207 (PK and PD) + Seminars hold by Prof. Andrew Lin

homogeneous ODE system in the two-compartment model

Laplace transform method for ODE system

characteristic equation method for ODE system

eigenvalue and eigenvector

numerical method for ODE system

# 加载所需的包
library(deSolve)

# 定义数值解函数
numeric_solution <- function(k01, k12, k21, k10, time) {
    # 定义ODE系统
    ode_system <- function(t, state, parameters) {
        A0 <- state["A0"]
        A1 <- state["A1"]
        A2 <- state["A2"]
        k01 <- parameters["k01"]
        k12 <- parameters["k12"]
        k21 <- parameters["k21"]
        k10 <- parameters["k10"]
        dA0_dt <- -k01 * A0
        dA1_dt <- k01 * A0 - (k12 + k10) * A1 + k21 * A2
        dA2_dt <- k12 * A1 - k21 * A2
        list(c(dA0_dt, dA1_dt, dA2_dt))
    }
    
    # 初始状态
    initial_state <- c(A0 = 1, A1 = 0, A2 = 0)
    parameters <- c(k01 = k01, k12 = k12, k21 = k21, k10 = k10)
    
    # 求解ODE
    solution <- ode(
        y = initial_state,
        times = time,
        func = ode_system,
        parms = parameters
    )
    
    # 转换为数据框
    solution_df <- as.data.frame(solution)
    out <- data.frame(
        time = solution_df$time,
        amount = solution_df$A1,
        solution = "numeric"
    )
    return(out)
}

k01 <- 0.5  # 吸收速率常数
k12 <- 0.3  # 从中央室到周边室的分布速率常数
k21 <- 0.2  # 从周边室到中央室的分布速率常数
k10 <- 0.1  # 消除速率常数
time <- seq(0, 24, by = 0.1)  # 时间点从0到24小时

result <- numeric_solution(k01, k12, k21, k10, time)

head(result)
  time     amount solution
1  0.0 0.00000000  numeric
2  0.1 0.04780524  numeric
3  0.2 0.09143087  numeric
4  0.3 0.13118199  numeric
5  0.4 0.16733972  numeric
6  0.5 0.20016763  numeric
plot(result$time, result$amount, type = "l", 
     xlab = "Time", ylab = "Amount in Central Compartment (A1)",
     main = "Two-Compartment Model with Absorption",
     col = "blue", lwd = 2)

# 加载所需的包
library(deSolve)
library(ggplot2)

# 定义数值解函数
numeric_solution <- function(k01, k12, k21, k10, time) {
    # 定义ODE系统
    ode_system <- function(t, state, parameters) {
        A0 <- state["A0"]
        A1 <- state["A1"]
        A2 <- state["A2"]
        k01 <- parameters["k01"]
        k12 <- parameters["k12"]
        k21 <- parameters["k21"]
        k10 <- parameters["k10"]
        dA0_dt <- -k01 * A0
        dA1_dt <- k01 * A0 - (k12 + k10) * A1 + k21 * A2
        dA2_dt <- k12 * A1 - k21 * A2
        list(c(dA0_dt, dA1_dt, dA2_dt))
    }
    
    # 初始状态
    initial_state <- c(A0 = 1, A1 = 0, A2 = 0)
    parameters <- c(k01 = k01, k12 = k12, k21 = k21, k10 = k10)
    
    # 求解ODE
    solution <- ode(
        y = initial_state,
        times = time,
        func = ode_system,
        parms = parameters
    )
    
    # 转换为数据框
    solution_df <- as.data.frame(solution)
    out <- data.frame(
        time = solution_df$time,
        amount = solution_df$A1,
        solution = "numeric"
    )
    return(out)
}

# 定义解析解函数
analytic_solution <- function(k01, k12, k21, k10, time) {
    ks <- k10 + k12 + k21
    alpha <- (ks + sqrt(ks^2 - (4 * k10 * k21))) / 2
    beta <- (ks - sqrt(ks^2 - (4 * k10 * k21))) / 2

    A <- (alpha - k21) / (alpha - beta)
    B <- -(beta - k21) / (alpha - beta)

    A_term <- A * exp(-alpha * time) * (exp(time * (alpha - k01)) - 1)
    B_term <- B * exp(-beta * time) * (exp(time * (beta - k01)) - 1)

    A_term <- A_term * k01 / (alpha - k01)
    B_term <- B_term * k01 / (beta - k01)

    out <- data.frame(
        time = time,
        amount = A_term + B_term,
        solution = "analytic"
    )
    return(out)
}

# 设置参数
k01 <- 0.3
k12 <- 0.2
k21 <- 0.1
k10 <- 0.3
time <- seq(0, 24, 0.1)

# 计算数值解和解析解
dat_numb <- numeric_solution(k01, k12, k21, k10, time)
dat_anal <- analytic_solution(k01, k12, k21, k10, time)

# 合并数据
dat <- rbind(dat_numb, dat_anal)

# 绘制图形
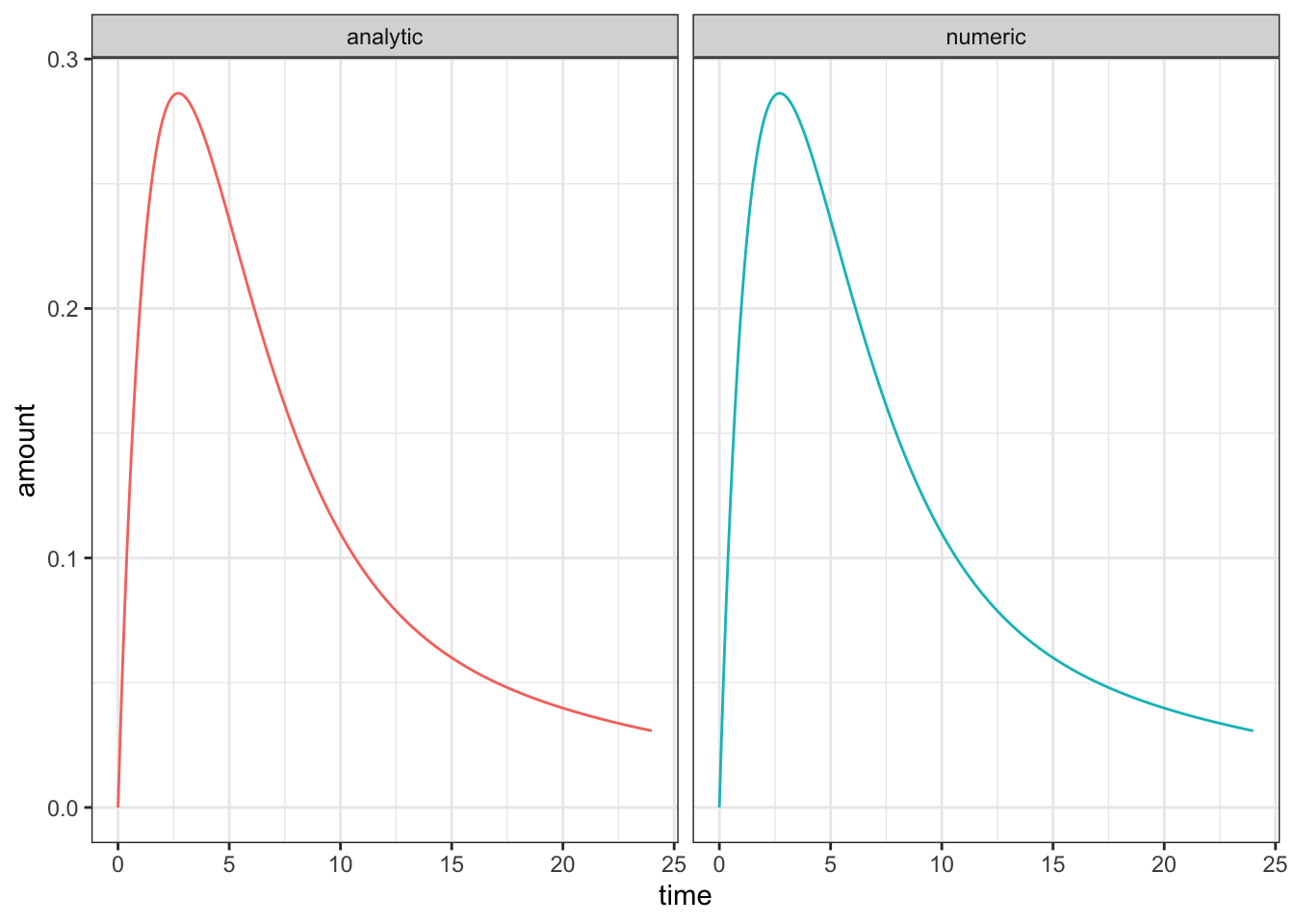
ggplot(dat, aes(time, amount, colour = solution)) +
    geom_line(show.legend = FALSE) +
    facet_wrap(~solution) +
    theme_bw()

A difficult quesiton about variation parameters method for a 1st order ODEs

Find the solution of the equation

\[ \frac{dy}{dx} - P(x)y = e^{2x}, \quad y(0) = 1, \]

where \[P(x) = \begin{cases} 1 & x \in [0,1), \\ 0 & x \notin [0,1). \end{cases}\]

[Solution:] Consider the homogeneous equation

\[ \frac{dy}{dx} - P(x)y = 0, \]

by separating the variables we have \(\frac{dy}{y} = P(x)dx\), namely \(\ln|y| = \int_0^x P(t)dt + C_1\), and we get

\[ y = Ce^{\int_0^x P(t)dt} = \begin{cases} C & x < 0 \\ Ce^x & x \in [0,1) \\ Ce & x \geq 1. \end{cases} \]

Now by variation of parameters we suppose \(u = u(x)\), and \(y = u(x)e^{\int_0^x P(t)dt}\) is the solution, hence

\[ u'(x) = e^{2x - \int_0^x P(t)dt} = \begin{cases} e^{2x} & x < 0, \\ e^x & x \in [0,1), \\ e^{2x-1} & x \geq 1. \end{cases} \]

(this is because :

The differential equation is given by: \[ y' + p(x)y = f(x). \]

Integrating factor is: \[ e^{\int p(x)dx}. \]

Multiplying through by the integrating factor: \[ \frac{d}{dx} \left[ e^{\int p(x)dx} y \right] = f(x) e^{\int p(x)dx}. \]

Solving for \(y\):

\[ y e^{\int p(x)dx} = \int f(x) e^{\int p(x)dx} dx + C. \]

Thus, the general solution is: \[ y = Ce^{-\int p(x)dx} + e^{-\int p(x)dx} \int f(x) e^{\int p(x)dx} dx, \] where \(y_c\) represents the complementary solution \(Ce^{-\int p(x)dx}\) and \(y_p\) represents the particular solution \(e^{-\int p(x)dx} \int f(x) e^{\int p(x)dx}\).

)

and \(C(0) = 1\) since \(y(0) = 1\).

We see that

\[ u(x) = u(0) + \int_0^x u'(t)dt = \begin{cases} \frac{e^{2x} + 1}{2} & x < 0 \\ e^x & x \in [0,1) \\ \frac{e^{2x-1} + e}{2} & x \geq 1. \end{cases} \]

Finally we get

\[ y = \begin{cases} \frac{e^{2x} + 1}{2} & x < 0 \\ e^{2x} & x \in [0,1) \\ \frac{e^{2x} + e^2}{2} & x \geq 1. \end{cases} \]

Read “Differential Equations with Applications and Historical Notes” by George F. Simmons

Differential equations are the heart of analysis, which is the natural goal of elementary calculus and the most important part of mathematics for understanding the physical sciences.

Fourier Series

We can use functions in a orthogonal set,

\[\left\{ 1, \cos\left(\frac{\pi}{p}x\right), \cos\left(\frac{2\pi}{p}x\right), \cos\left(\frac{3\pi}{p}x\right), \ldots, \sin\left(\frac{\pi}{p}x\right), \sin\left(\frac{2\pi}{p}x\right), \sin\left(\frac{3\pi}{p}x\right), \ldots \right\}\]

(similar to a orthognal basis in linear algebra, to obtain the Fourier series). Specifically, we start with the orthogonal set {1, sin, cos, …}. By projecting the function onto these basis functions or computing the inner product three times—(f, 1), (f, cos), and (f, sin)—we can derive the Fourier series representation of the function.

Proof

THM

piecewise continuous function

  • A function f(x) is piecewise continuous on an interval [a, b] if it is continuous on each subinterval (open interval) of [a, b] and has a finite number of (or jump) discontinuities in the interval. The function can be defined in pieces, and at each piece, it must be continuous.

thm–condition for convergence

f, and f’ are piecewise continuous on [-p,p], then for every x $$ [-p,p], the Fourier series of f(x) converges to f(x) at every point x in [-p,p] where f is continuous. If f has a jump discontinuity at x, the Fourier series converges to the average of the left-hand and right-hand limits of f at x.

Integrating factor is the translation of the diffrentiation operation

\(y'+ky = f(x)\) is just \((D+k)y=f(x)\)–> y=1/(D+k)f(x)

  • idea : integrating factor and exact differential

\(e^{kx} (y'+ky) =e^{kx} f(x)\)

\(ye^{kx} = \int e^{kx} f(x) dx\)

y= \(\frac{1}{e^{kx}} \int e^{kx} f(x) dx\) = \(e^{-kx} \int^m e^{km} f(m) dm\)–convolution

So the solution of y = \(\frac{1}{e^{kx}} \int e^{kx} f(x) dx\) is the same as the solution of y=1/(D+k)f(x)

eg. \(1/(D-2) (xe^x) = e^{-2x} \int e^{x} e^{2x} x dx = e^{-2x} \int e^{3x} x dx = e^{-2x} (e^{3x} (1/3)x - 1/9 e^{3x}) = 1/3 x e^x - 1/9 e^x\)

result <- 0.927 /6


tan(5.356)
[1] -1.333028
atan(5.356)
[1] 1.386215
tan(-0.9271752)
[1] -1.333
0.8*cos(8 *pi/12)
[1] -0.4
0.8*cos(8 *pi/8)
[1] -0.8
0.8*cos(8 *pi/6)
[1] -0.4
0.8*cos(8 *pi/4)
[1] 0.8
0.8*cos(8 * (9*pi/32))
[1] 0.5656854
0.8*cos(8 * 3*pi/16)
[1] -1.469576e-16
-6.4*sin(8*3*pi/16)
[1] 6.4

use this idea we introduce the method of variation of parameters of finding the particular solution of the non-homogeneous linear equation system

….

method of using the matrix exponential to solve the system of ODEs

We can differentiate \(e^{tA}\) with respect to \(t\) and obtain

\[ \begin{align*} \frac{d}{dt} e^{tA} &= A + tA^2 + \frac{t^2}{2!}A^3 + \frac{t^3}{3!}A^4 + \cdots \\ &= A \left( 1 + tA + \frac{t^2}{2!}A^2 + \frac{t^3}{3!}A^3 + \cdots \right) \\ &= Ae^{tA} \end{align*} \] as one would expect from differentiating the exponential function. We can therefore formally write the solution of

\[ \dot{x} = Ax \qquad x(0) = e^{tA}x(0) \]

If the matrix \(A\) is diagonalizable such that \(A = S\Lambda S^{-1}\), then observe that

\[ \begin{align*} e^{tA} &= e^{tS\Lambda S^{-1}} \\ &= I + tS\Lambda S^{-1} + \frac{t^2(S\Lambda S^{-1})^2}{2!} + \frac{t^3(S\Lambda S^{-1})^3}{3!} + \cdots \\ &= I + tS\Lambda S^{-1} + \frac{t^2 S\Lambda^2 S^{-1}}{2!} + \frac{t^3 S\Lambda^3 S^{-1}}{3!} + \cdots \\ &= S \left( I + t\Lambda + \frac{t^2\Lambda^2}{2!} + \frac{t^3\Lambda^3}{3!} + \cdots \right) S^{-1} \\ &= Se^{t\Lambda}S^{-1} \end{align*} \]

If \(\Lambda\) is a diagonal matrix with diagonal entries \(\lambda_1, \lambda_2,\) etc., then the matrix exponential \(e^{t\Lambda}\) is also a diagonal matrix with diagonal entries given by \(e^{\lambda_1 t}, e^{\lambda_2 t},\) etc.

We can now use the matrix exponential to solve a system of linear differential equations.

\(\textbf{Example: Solve the previous example}\)

\[ \mathbf{X}' = \begin{pmatrix} 4 & 4 & 4 \\ 4 & 4 & 4 \\ -8 & -8 & -8 \end{pmatrix} \mathbf{X} \]

We could use the traditional method of finding eigenvalues and eigenvectors, but more quicker is to use the matrix exponential since

\[ A^2=\begin{pmatrix} 4 & 4 & 4 \\ 4 & 4 & 4 \\ -8 & -8 & -8 \end{pmatrix}\begin{pmatrix} 4 & 4 & 4 \\ 4 & 4 & 4 \\ -8 & -8 & -8 \end{pmatrix}=\begin{pmatrix} 0 & 0 & 0 \\ 0 & 0 & 0 \\ 0 & 0 & 0 \end{pmatrix} \]

So we have \(e^{At}=I+At\)

Therefore, the solution of this system is \(e^{At}\vec C =e^{At}(C_1,C_2,C_3)\), which is

\[ X(t) = \begin{pmatrix} C_1 + 4t(C_1 + C_2 + C_3) \\ C_2 + 4t(C_1 + C_2 + C_3) \\ C_3 - 8t(C_1 + C_2 + C_3) \end{pmatrix} \]

\(\textbf{Example: Solve the previous example}\)

\[ \frac{d}{dt} \begin{pmatrix} x_1 \\ x_2 \end{pmatrix} = \begin{pmatrix} 1 & 1 \\ 4 & 1 \end{pmatrix} \begin{pmatrix} x_1 \\ x_2 \end{pmatrix} \]

by matrix exponentiation.

We know that

\[ \Lambda = \begin{pmatrix} 3 & 0 \\ 0 & -1 \end{pmatrix}, \quad S = \begin{pmatrix} 1 & 1 \\ 2 & -2 \end{pmatrix}, \quad S^{-1} = \frac{1}{4} \begin{pmatrix} -2 & -1 \\ -2 & 1 \end{pmatrix}. \]

The solution to the system of differential equations is then given by

$$ \[\begin{align*} x(t) &= e^{tA}x(0) \\ &= S^{A}S^{-1}x(0) \\ &= \frac{1}{4} \begin{pmatrix} 1 & 1 \\ 2 & -2 \end{pmatrix} \begin{pmatrix} e^{3t} & 0 \\ 0 & e^{-t} \end{pmatrix} \begin{pmatrix} -2 & -1 \\ -2 & 1 \end{pmatrix} \times (0). \end{align*}\]

$$

Successive matrix multiplication results in \[ \begin{align*} x_1(t) &= \frac{1}{4}(2x_1(0) + x_2(0))e^{3t} + \frac{1}{4}(2x_1(0) - x_2(0))e^{-t}, \\ x_2(t) &= \frac{1}{2}(2x_1(0) + x_2(0))e^{3t} - \frac{1}{2}(2x_1(0) - x_2(0))e^{-t}. \end{align*} \]

Plz write the Cauchy-Euler equation as the simplest one and THEN use the method of variation of parameters!!!

Intro

To study ODEs and PDEs, the thinking way of Linear Algebra should be used!

\(x^{(2)}\)= x’’ = \(\frac {d^2 x}{dy^2}\)–this notation of the second order’s is actually share the same idea of “division”

Order

Liniarity

$a_n(x) + … +a_1(x) +a_0(x)y =g(x) $

  • eg

(y-x)dx+4xdy=0

  • \(\frac {d^2 y}{dx^2}+\sin y=0\) is not linear since it has nonlinear function of y

solution of an ODE

? why continuous? —

An funtion defined on an interval I and possessing at least n derivatives that are continuous on I, which when substituted into an nth-order ordinary differential equation reduces the equation to an identity, is said to be a solution of the equation on the interval.

We cannot think solution of an ordinary differential equation without simultaneously thinking interval.

trivial solution –y=0, I

Solution Curve SEE CODEs

Explicit and implicit solution shape of ODEs

Singular solution

A solution of a system

System:

\[\cases{^{{\frac{dx}{dt}}=f(t,x,y)} _{\frac{dy}{dt}=g(t,x,y)}}\] Solution: x =\(\Phi_1(t)\), y=\(\Phi_2(t)\) defined on a common interval I that satisfy each equation of the system on this interval.

Initial Value Problem –codes

  • def

On some interval I containing \(x_0\), the problems of solving an nth-order DE subject to n side conditions (initial conditions (IC)) specified at \(x_0\)

Existence and Uniqueness

Does a solution of the problem exist? If a solution exists, is it unique?

Interval of Existence and Uniqueness

Suppose y(x) represents a solution of the first order initial- value problem. The following three sets on the real x-axis may not be the same:

the domain of the function y(x), D

the interval I over which the solution y(x) is defined or exists,

and the interval \(I_0\) of existence and uniqueness.

\(I_0 \subseteq I \subseteq D\)

Differential Equations as Mathematical Models

Newton’s law

Autonomous 1st Order DEs

for y(x): \(\frac{dy}{dx} = f(y)\)

Critical Points (equilibrium point/ stationary point)–f(y)=0

  • eg. Population increase model

\(\frac{dp}{dt} = p(a-bp)\)

let f(p)=p(a-bp)=0 and catogorize the x-axis based on it, discussing the different situation intuitively

Properties of the solutions of autonomous DE

  • A solution curve

? Translation Property–only autonomous DEs has this property?

  • meaning: translation?

If y(x) is a solution of an autonomous differential equation dy ∕dx = f(y), then y1(x) = y(x − k) (y of (x-k)), k a constant, is also a solution.

Separable Equations

\(\frac {dy}{dx}=g(x)h(y)\)

singular solution

\(\frac {dy}{h(y)}=g(x)dx\). If r is a zero of the function h(y), substituting y=r into dy/dx=g(x)h(y) makes both sides zero (y = r is a constant solution of the differential equation). As a consequence, y = r might not show up in the family of solutions that are obtained after integration and simplification. Such a solution is called a singular solution.

initial value problem

intergral-defined function

  • eg

Linear equation

\(a_1(x)\frac{dy}{dx}+a_0(x)y=g(x)\) is said to be a linear equation in the variable y.

  • standard form:

\(\frac{dy}{dx}+P(x)y=f(x)\)

Integrating factor method

solution

idea: want to written into \(\frac{d}{dx}()=f(x)\) then we assume after multiplying a factor \(\mu(x)\) we can write \(\frac{d}{dx}(\mu(x)y(x))=\mu(x)f(x)\)

we get \(\mu(x) = ce^{\int{p(x)dx}{}}\).

let c=1 we get the integrating factor

IVP

?Error function

Exact equations

z=f(x,y)=c

Non-exact

Bernouli’s equation

DO Not Remember–understand it instead!

just want to transform the equation to a 1st order differential equation to solve it using integrating factor method.

W7

Homogeneous Linear System

Just follow the idea in \(y''+my'+ny=0\), when facing the linear system \(\cases{{\vec {x'} = A\vec x}\\{ay'+by=0}}\), we also assume that \(\vec {x'} = \vec ke^{\lambda t}\) and substitute it into \(\vec {x'} = Ax\)

phase portrait and stable/ unstable / semi-stable points

? JORDAN FORM AND ODE system?

When we solve \(ay''+by'+cy=0\) if m is a double root, then \(y_1=e^{mx}\), \(y_2=xe^{mx}\)

Naturally, here we assume \(\vec x_2 =\vec k t e^{\lambda t}\), substitute \(\vec x_2\) into the system \(\vec {x'} = Ax\);

LHS = \(\vec {x_2'} = \vec k(e^{\lambda t }+\lambda te^{\lambda t})=A\vec x_2\)=\(A\vec k t e^{\lambda t}\) =RHS

Then we get \(\vec k = \vec 0\).

So our assumption is not true.

There is an extra term

对称矩阵重复n次的eigenvalue一定能找到n个线性无关的特征向量

把一个矩阵化为对角矩阵 (gauss- Jordan elimination)